Fermeture du bureau de poste d'Aumetz le jeudi 16 octobre après-midi

La commune est heureuse de mettre à disposition de ses habitants l’application PanneauPocket. Par cet outil très simple, elle souhaite tenir informés en temps réel les citoyens de son actualité au quotidien, et les alerter en cas de risques majeurs. Cette solution gratuite pour les habitants, sans récolte de données personnelles et sans publicité, permet d’établir un véritable lien privilégié entre le maire et ses citoyens.
6 place de l'Hôtel de Ville 57710 Aumetz
Aumetz
57710
Info publiée le 13/10/2025
- - - - - - -
Aumetz
57710
Jusqu'au 31/10/2025
Aumetz
57710
Info modifiée le 13/10/2025
- - - - - - -
Nous passerons lundi 20 octobre des 8h du matin et que chacun puisse déposer les verres dans des contenants pas trop lourds (sacs de courses éventuellement) devant leur porte sur le trottoir en évidence.
Les sacs seront vidés par les bénévoles de Verre J’espère et remis au lieu et place.
Par leur acte, ils soutiennent la Ligue contre le Cancer.
Ainsi tous les 3ème Lundi de chaque mois nous passerons
Pour 2025
Lundi 20 octobre
Lundi 17 novembre
Lundi 15 décembre
Aumetz
57710
Info modifiée le 13/10/2025
Aumetz
57710
Le 07/11/2025
- - - - - - -
Spectacle en famille – Mon petit cœur imbécile
Un voyage tendre et poétique portés par l’énergie du hip hop !
Vendredi 7 novembre 2025 à 19h - Salle des fêtes
Dès 8 ans – Durée : 50 min
Tarif habitant : adultes - 10 € / enfant - 5 €
Permanence billetterie vendredi 7 après-midi (sortie d'école), salle des fêtes
Infos et résas : 03 82 82 14 92
Aumetz
57710
Jusqu'au 31/10/2025
Aumetz
57710
Info modifiée le 13/10/2025
Aumetz
57710
Info modifiée le 13/10/2025
Aumetz
57710
Le 15/11/2025
Aumetz
57710
Le 22/11/2025
Aumetz
57710
Info publiée le 07/10/2025
- - - - - - -
La CCPHVA, en collaboration avec le syndicat de transport TeMo - Territoires et Mobilités Moselle Nord, lance un tout nouveau service de transport à la demande, pour les communes ne disposant pas de lignes de bus régulières.
Temo'Flex A dessert désormais les communes d'Audun-le-Tiche, Aumetz, Rédange et Russange, avec des correspondances vers :
Angevillers : ligne 51 vers Thionville
Fontoy : ligne S05 vers Hayange
Vous trouverez toutes les informations pratiques ici : https://ccphva.com/TAD
Aumetz
57710
Le 06/11/2025
Aumetz
57710
Info publiée le 07/10/2025
- - - - - - -
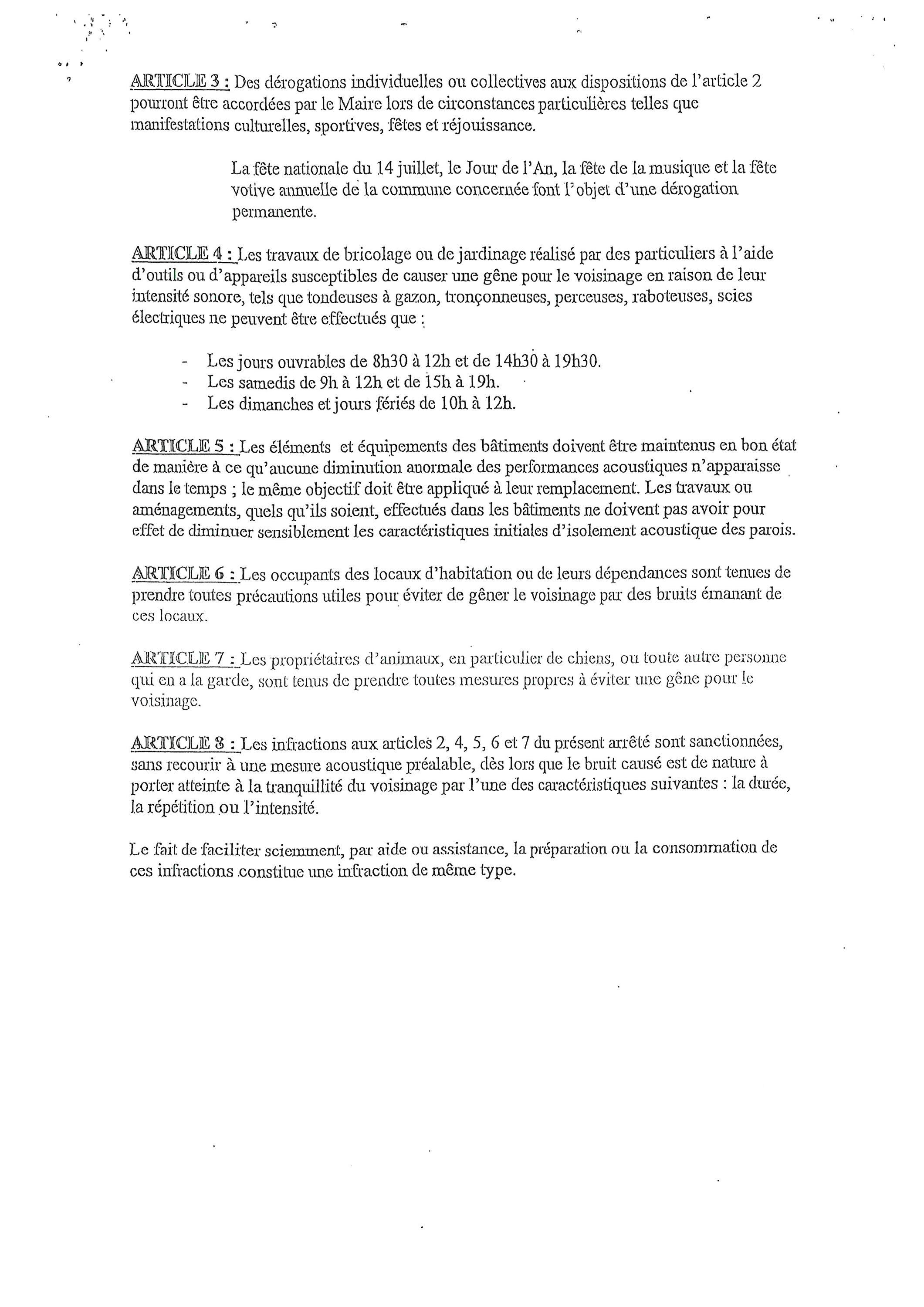
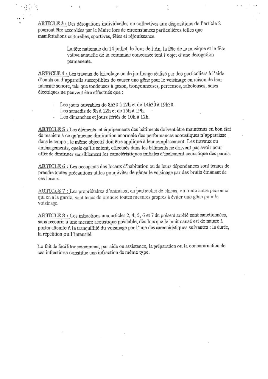
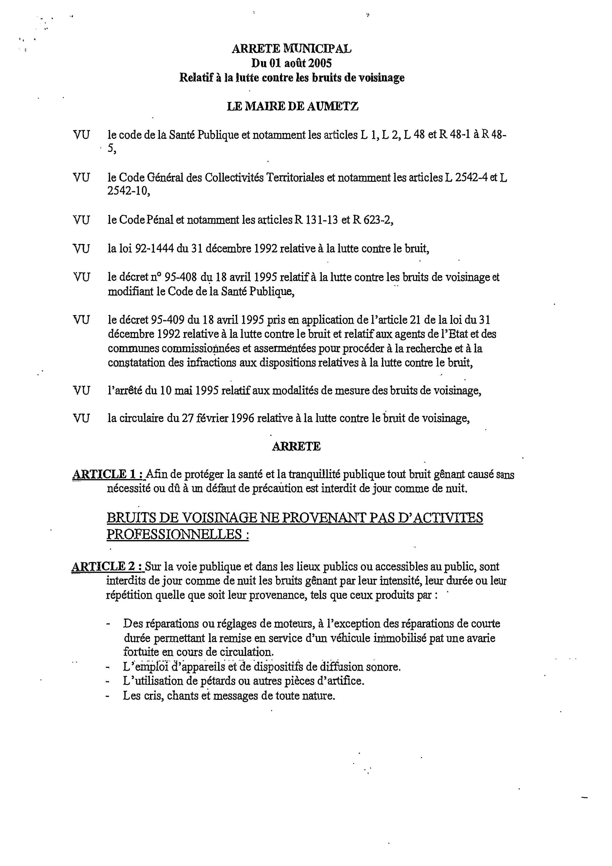
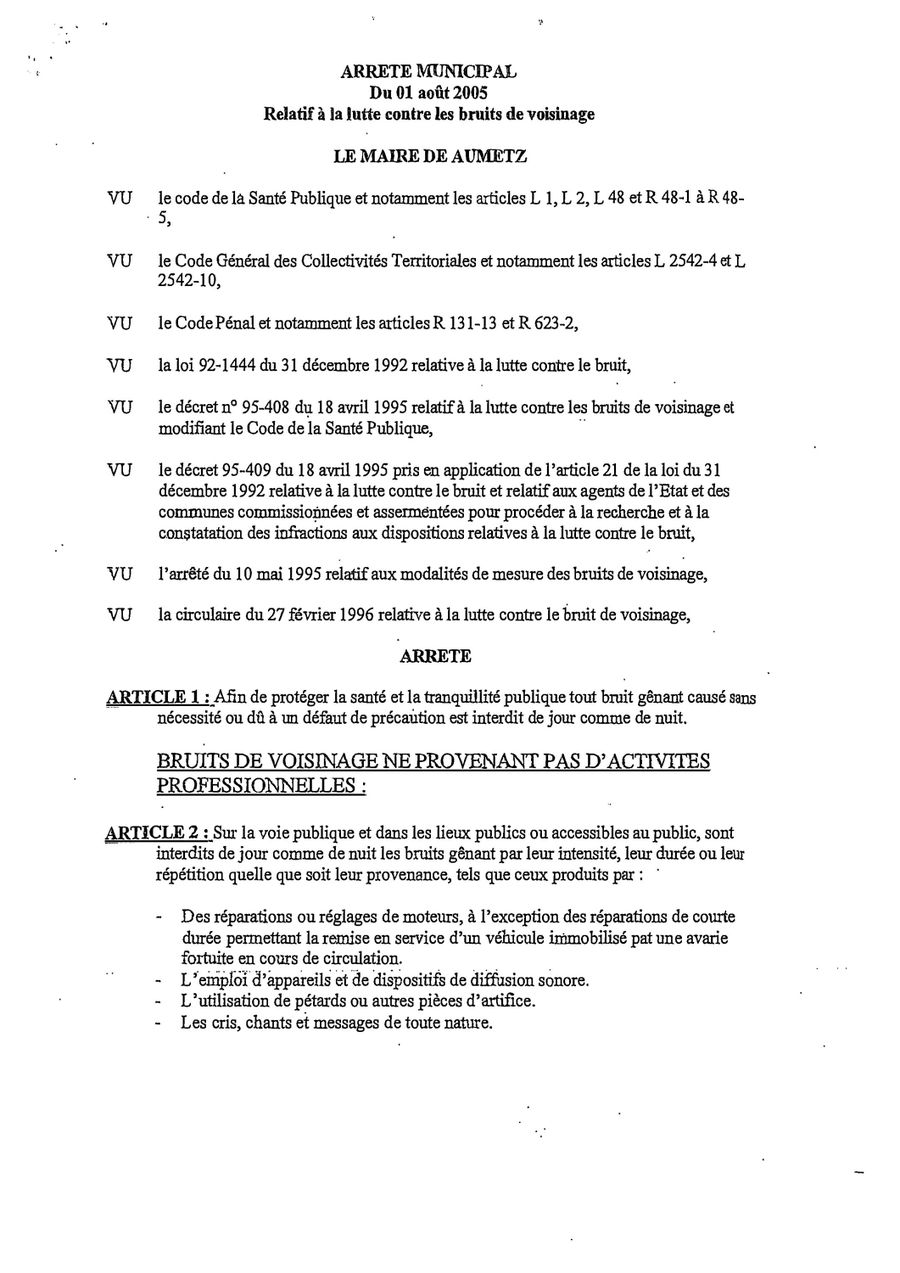
Nous vous rappelons qu'il est interdit de jeter ou de déposer des graines ou nourriture, en tous lieux ou établissements publics, susceptibles d'attirer les animaux errants, sauvages ou redevenus tels, notamment les chats ou les pigeons ; la même interdiction est applicable aux voies privées, cours ou autres parties d'un immeuble ou d'un établissement lorsque cette pratique risque de constituer une gêne pour le voisinage ou d'attirer les rongeurs.
Toutes mesures doivent être prises pour empêcher que la pullulation de ces animaux soit une cause de nuisance et un risque de contamination de l'homme par une maladie transmissible ainsi que de propagation d'épidémie chez les animaux.
Aumetz
57710
Info publiée le 29/09/2025
Aumetz
57710
Info publiée le 19/09/2025
- - - - - - -
Il reste encore des places pour la rentrée musicale 2025 !
Éveil musical, guitare, violon, alto, violoncelle, flûte traversière, cor, mandoline, tuba ou encore accordéon… le choix est large pour petits et grands.
Inscriptions en ligne : https://www.ecolediapason.fr
Renseignements :
Par téléphone au 07 60 31 83 40
Par email à contact@ecolediapason.fr
Aumetz
57710
Info modifiée le 09/01/2025
- - - - - - -
Aumetz
57710
Info modifiée le 14/07/2023
- - - - - - -
📮 Adresse :
6 place de l'Hôtel de Ville
57710 Aumetz
Contacter la Mairie :
☎ Téléphone
Site internet
🔍https://www.mairieaumetz.com
https://www.facebook.com/aumetzinformations/
Ouvert au public
Lundi Mardi Jeudi Vendredi
de : 8h30 à 12h et de 15h à 17h
Mercredi de :
8h30 à 12h - Fermé l'après-midi
Permanence du Maire et des Adjoints
sur rendez-vous