Baralle - 62860
La commune est heureuse de mettre à disposition de ses habitants l’application PanneauPocket. Par cet outil très simple, elle souhaite tenir informés en temps réel les citoyens de son actualité au quotidien, et les alerter en cas de risques majeurs. Cette solution gratuite pour les habitants, sans récolte de données personnelles et sans publicité, permet d’établir un véritable lien privilégié entre le maire et ses citoyens.

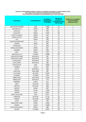
Consultez l'actualité des autres communes autour de Baralle
[
Plus de 13 500 collectivités utilisent PanneauPocket
]
[
Plus de 13 500 collectivités utilisent PanneauPocket
]